Tumores das Glândulas Salivares Maiores: Como estadiar pelo TNM?

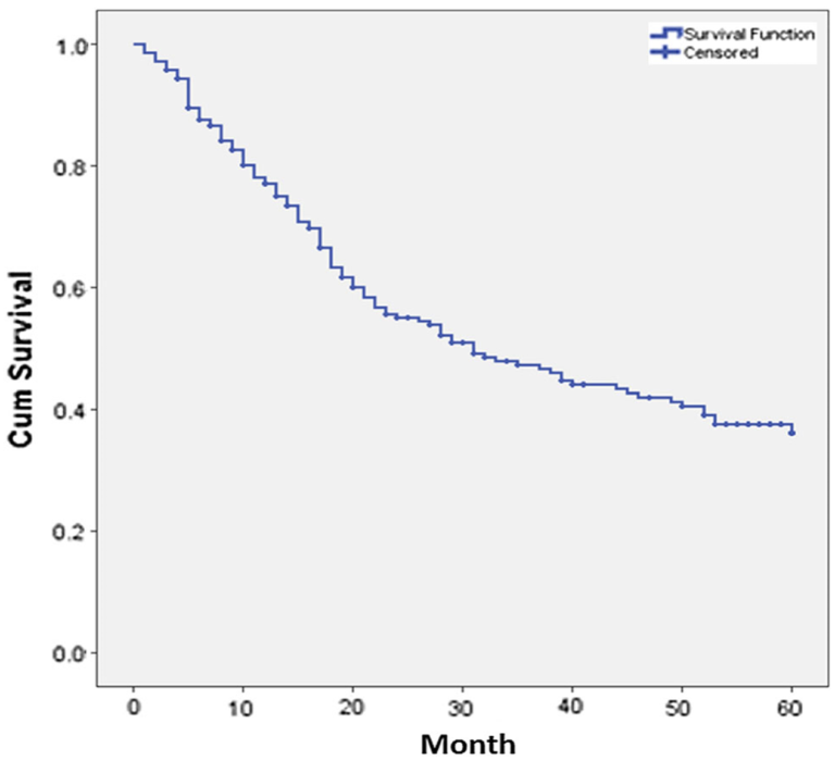
Os Tumores das Glândulas Salivares são raros e podem se originar das glândulas maiores ou das menores. Veja como classificar esses tumores de acordo com o TNM.

Os Tumores das Glândulas Salivares são raros e podem se originar das glândulas maiores ou das menores. Veja como classificar esses tumores de acordo com o TNM.

O Melanoma do Trato Aerodigestivo Superior é raro, mas possui mortalidade em 5 anos de até 80%. Veja como estadiar de acordo com o TNM.

Os Tumores da Cavidade Nasal e dos Seios Paranasais são raros e, em sua maioria, carcinomas espinocelulares. Veja como classificar de acordo com o sistema TNM.

O Carcinoma Primário Oculto do Pescoço ocorre quando um paciente possui uma metastase linfonodal cervical de carcinoma, sem identificação do tumor primário. Saiba como classificar pelo TNM.

O câncer de tireoide representa cerca de 580 mil casos novos a cada ano. É subdividido em diferenciado, indiferenciado e carcinoma medular. Veja como classificar de acordo com o TNM.

Os tumores de laringe (supraglote, glote e subglote) provocam cerca de 100 mil óbitos por ano pelo mundo. Como classificar esses tumores de acordo com o sistema TNM?

Os Tumores de Hipofaringe representam cerca de 80 mil novos casos por ano e possui sobrevida em 5 anos de apenas 38%. Veja como estadiar esses pacientes usando o TNM.

O HPV (vírus do papiloma humano) vem se destacando como fator etiológico dos tumores de orofaringe. Isso fica ainda mais evidente nos países desenvolvidos, onde até 70% dos casos são associados ao vírus. Tal a importância dessa relação que foi…

Como estadiar os tumores de Orofaringe p16 Negativos pelo TNM? Qual o prognóstico quando comparado com os tumores p16 positivos?

Como estadiar os pacientes com e tumores de nasofaringe de acordo com o TNM? Qual o prognóstico desses pacientes?

Como estadiar os pacientes com Tumores de Mucosa Labial e de Cavidade Oral? Qual o prognóstico desses pacientes?