Schwanoma de plexo braquial

Cirurgia para exerese de Schwanoma de plexo braquial.

Cirurgia para exerese de Schwanoma de plexo braquial.

Esvaziamento Cervical Radical Modificado Tipo III Bilateral

Caso clínico da Dona M, paciente com Metástase Pulmonar de Melanoma, para exemplificar a o quanto pode ser agressivo um tumor de pele.

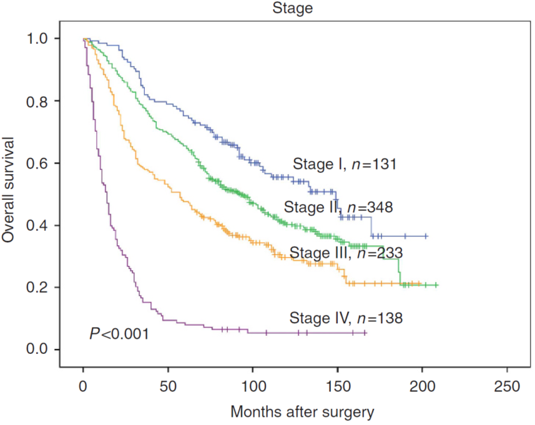
A sobrevida dos pacientes com Câncer de Vesícula Biliar varia entre 2 e 80% em 5 anos. Essa doença provocou a morte de 84 mil pacientes pelo mundo em 2020.

O colangiocarcinoma intra-hepático representa 15% dos tumores hepáticos primários e possui uma sobrevida em 5 anos de apenas 18%. Veja como classificar de acordo com o TNM!

O câncer hepático é responsável por mais de 830 mil óbitos anuais pelo mundo. Como estadiar pelo TNM e pelo BCLC? Qual a sobrevida por esse tumor?

Apesar de ser uma neoplasia maligna relativamente rara, a incidência do câncer de canal anal vem aumentando nos últimos anos. Veja como classificar de acordo com o TNM.

O câncer colorretal é terceiro tipo de câncer com maior incidência. São quase 2 milhões de casos novos por ano, pelo mundo. Veja como estadiar e saiba o prognóstico da doença.

Após a apendicectomia, até 1% das peças cirúrgicas analisadas podem revelar um câncer de apêndice cecal. Veja como estadiar pelo sistema TNM.

O câncer de intestino delgado representa apenas 5% dos tumores gastrointestinais e conta com sobrevida em 5 anos por volta de 54%. Veja como classificar usando o TNM.

O câncer de estômago afeta mais de um milhão de pessoas pelo mundo a cada ano, levando a óbito mais de 760 mil pacientes. Saiba bais sobre essa doença, o TNM e seu prognóstico.

O Câncer de Esôfago é uma doença com alta taxa de letalidade, com mais de 600 mil novos casos mundiais a cada ano, sendo mais de 10 mil aqui no Brasil. Veja como classificar pelo sistema TNM.